Официальное опубликование правовых актов
ОФИЦИАЛЬНОЕ ОПУБЛИКОВАНИЕ
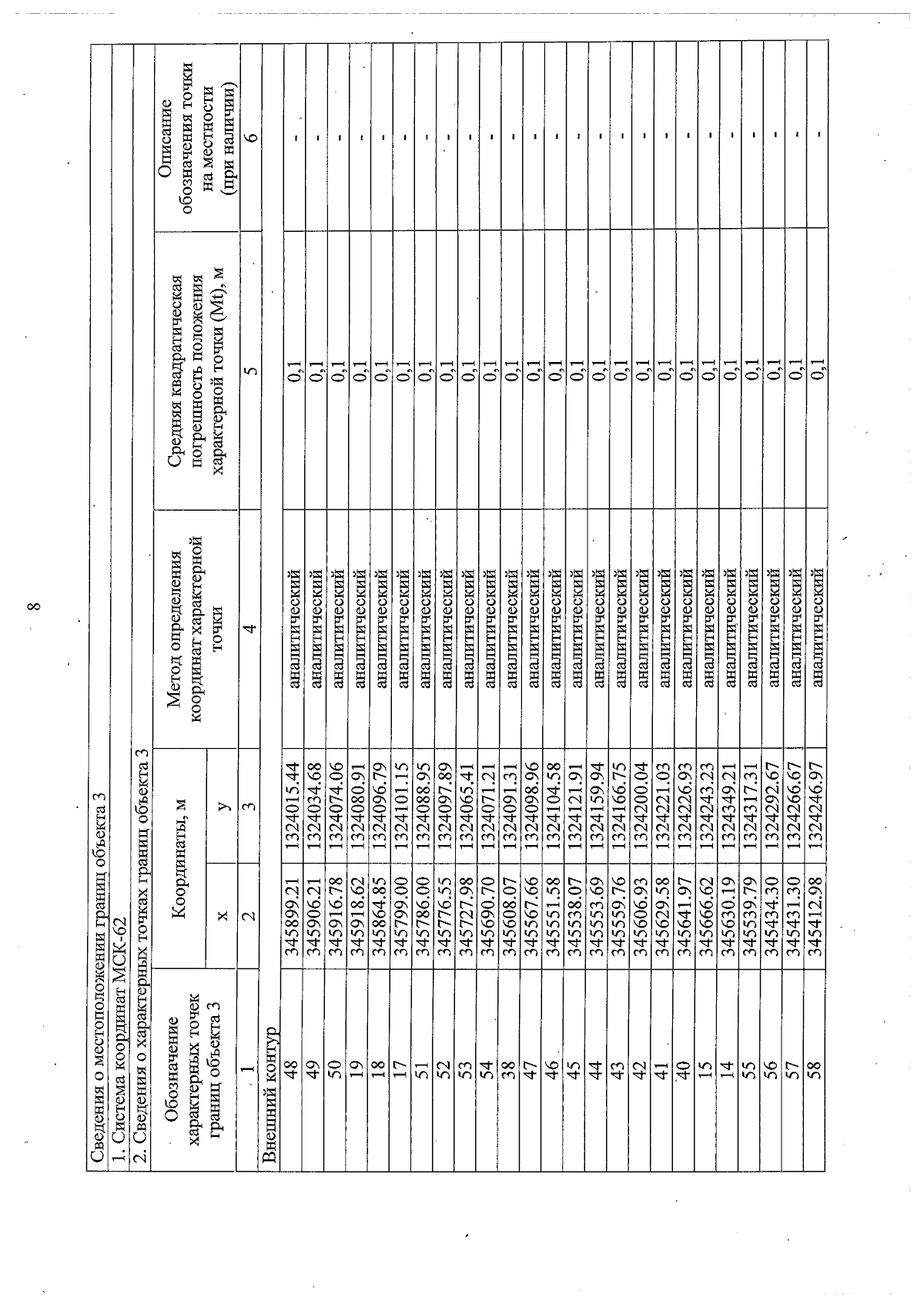
Постановление Правительства Рязанской области от 11.03.2026 № 69
"Об установлении зон охраны объекта культурного наследия регионального значения "Дмитриево-Ряжский монастырь", XVII-XVIII вв. и об утверждении требований к градостроительным регламентам в границах территорий данных зон"
Номер опубликования: 6200202603130002
Дата опубликования: 13.03.2026
Страница №10 из 20:
Увеличить