Официальное опубликование правовых актов
ОФИЦИАЛЬНОЕ ОПУБЛИКОВАНИЕ
Постановление Правительства Рязанской области от 14.04.2026 № 113
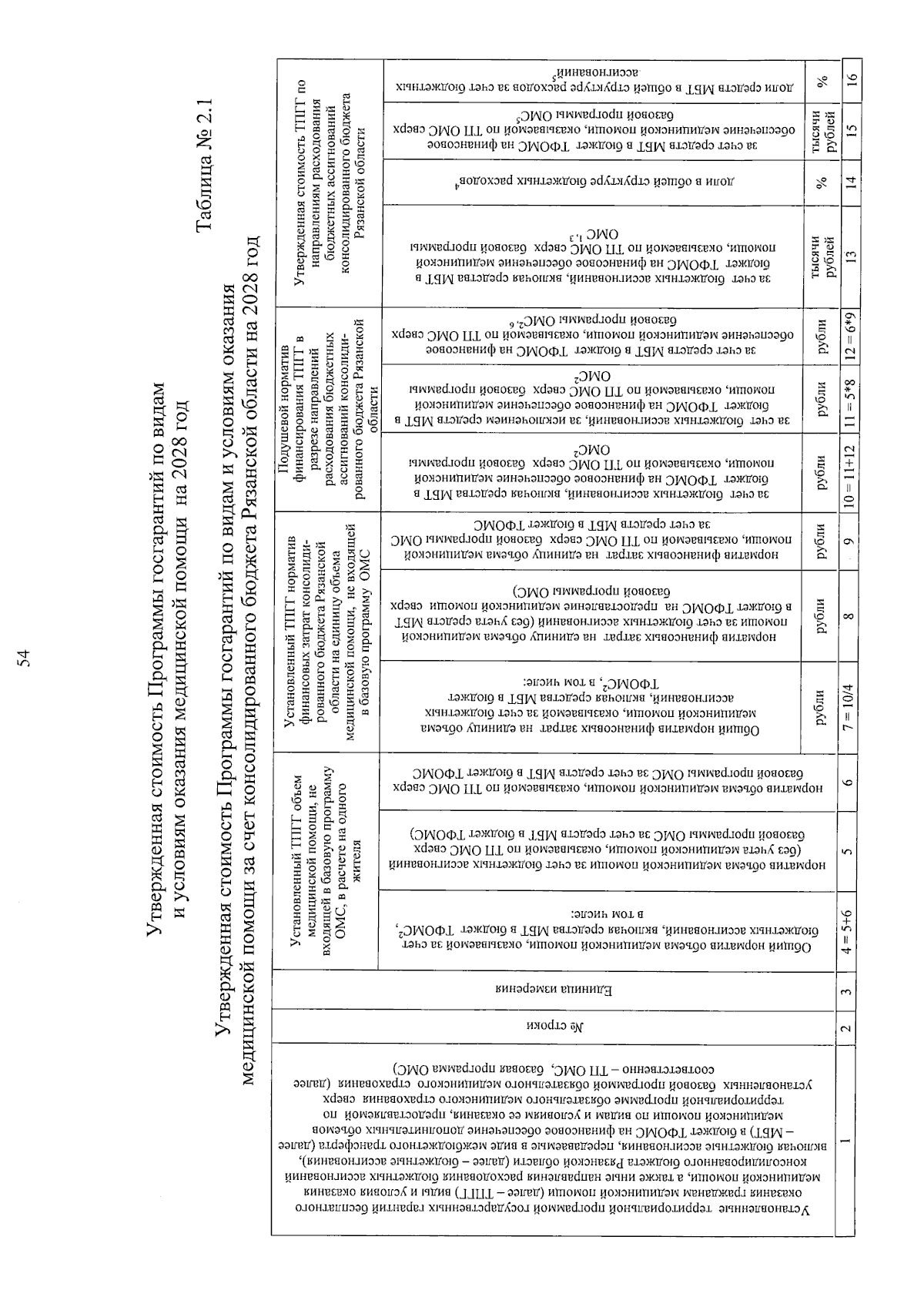
"О внесении изменений в постановление Правительства Рязанской области от 29 декабря 2025 г. № 428 "Об утверждении "Территориальной программы государственных гарантий бесплатного оказания гражданам медицинской помощи на 2026 год и на плановый период 2027 и 2028 годов"
Номер опубликования: 6200202604170004
Дата опубликования: 17.04.2026
Страница №81 из 114:
Увеличить