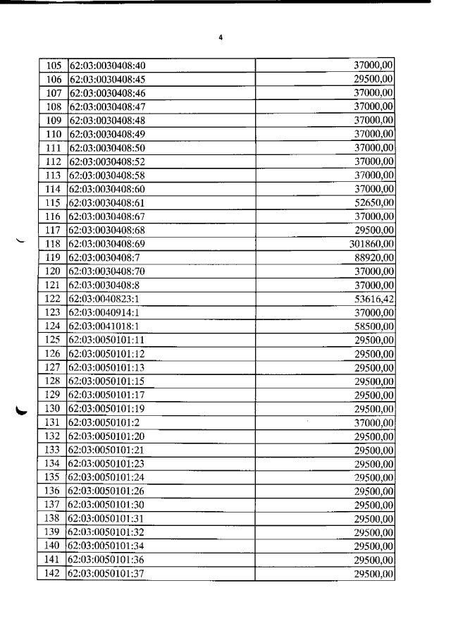
Постановление Министерства имущественных и земельных отношений Рязанской области от 12.10.2018 № 21-П "Об утверждении результатов определения государственной кадастровой оценки земель водного фонда на территории Рязанской области"
Номер опубликования: 6201201810150002
Дата опубликования:
15.10.2018
