Официальное опубликование правовых актов
ОФИЦИАЛЬНОЕ ОПУБЛИКОВАНИЕ
Постановление Главного управления "Региональная энергетическая комиссия" Рязанской области от 04.12.2018 № 264
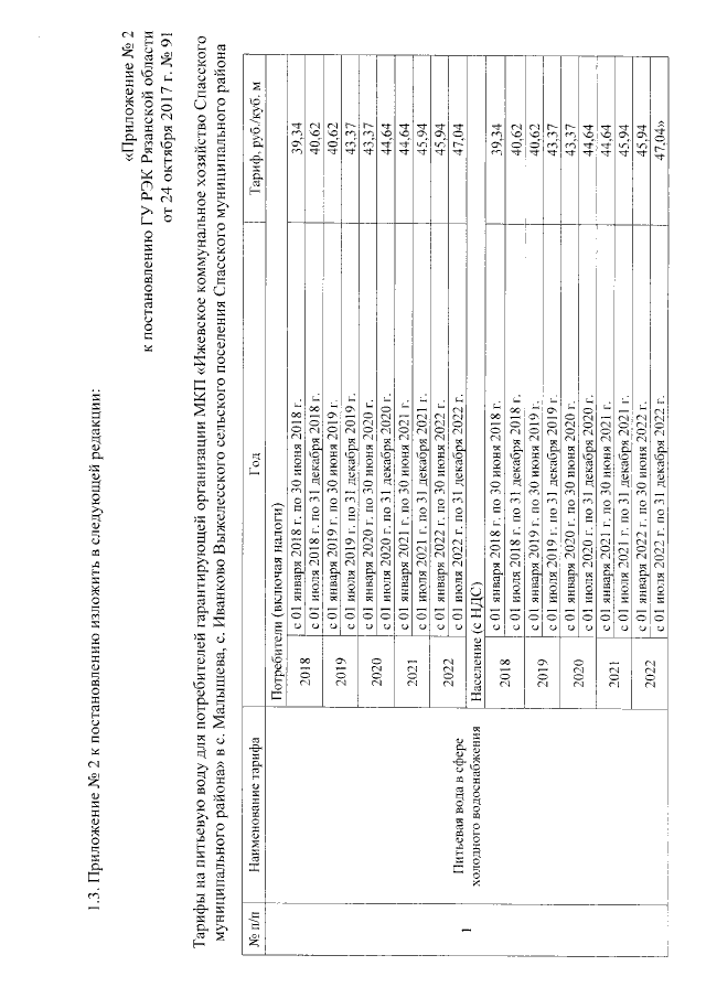
"О внесении изменений в постановление ГУ РЭК Рязанской области от 24 октября 2017 г. № 91 "Об установлении тарифов на питьевую воду в сфере холодного водоснабжения для потребителей гарантирующей организации МКП "Ижевское коммунальное хозяйство Спасского муниципального района" в с. Малышева, с. Иванково Выжелесского сельского поселения Спасского муниципального района"
Номер опубликования: 6201201812070004
Дата опубликования: 07.12.2018
Страница №3 из 4:
Увеличить