Официальное опубликование правовых актов
ОФИЦИАЛЬНОЕ ОПУБЛИКОВАНИЕ
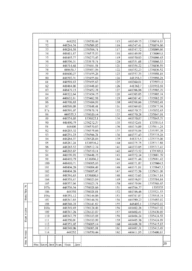
Постановление Главного управления архитектуры и градостроительства Рязанской области от 01.11.2019 № 304-п
"Об утверждении проекта планировки территории и проекта межевания территории по объекту: "Реконструкция водопроводной сети в с. Шумашь Рязанского района Рязанской области"
Номер опубликования: 6201201911060006
Дата опубликования: 06.11.2019
Страница №23 из 30:
Увеличить