Постановление Главного управления "Региональная энергетическая комиссия" Рязанской области от 12.11.2019 № 165
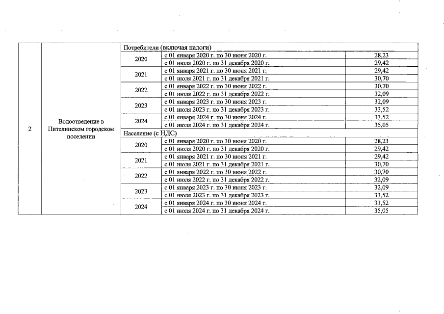
"Об установлении тарифа на питьевую воду в сфере холодного водоснабжения, водоотведение для потребителей гарантирующей организации МКП "Водоканал-Пителинский"
"Об установлении тарифа на питьевую воду в сфере холодного водоснабжения, водоотведение для потребителей гарантирующей организации МКП "Водоканал-Пителинский"
Номер опубликования: 6201201911150007
Дата опубликования:
15.11.2019
