Официальное опубликование правовых актов
ОФИЦИАЛЬНОЕ ОПУБЛИКОВАНИЕ
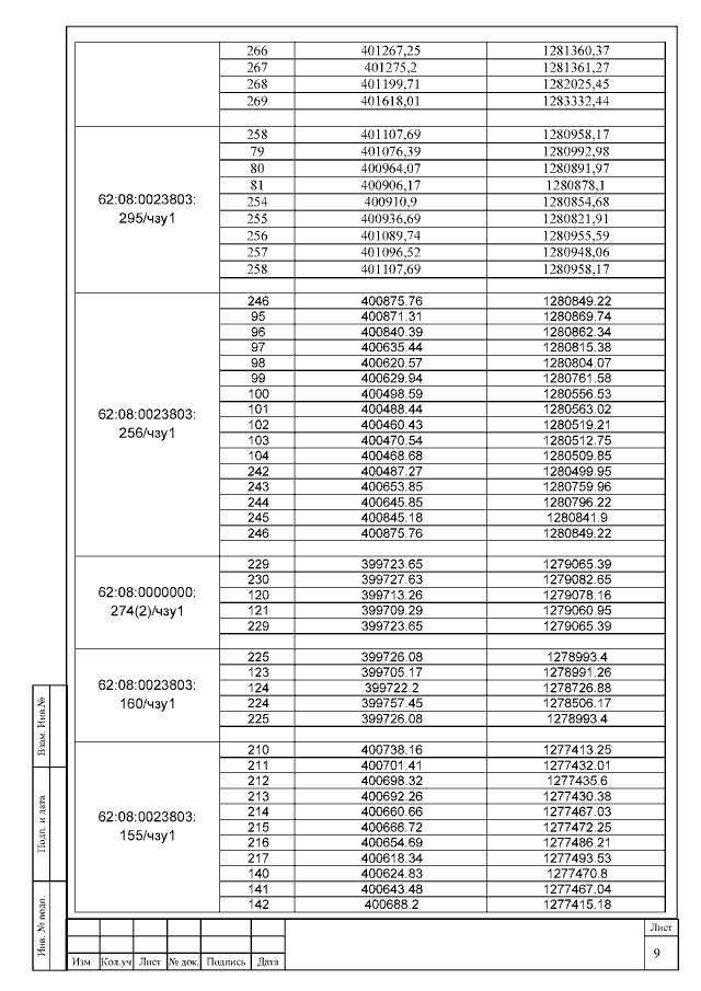
Постановление Главного управления архитектуры и градостроительства Рязанской области от 22.11.2019 № 373-п
"Об утверждении проекта планировки территории и проекта межевания территории по объекту "Газопровод межпоселковый ГРС Михайлов – ООО "Серебрянский цементный завод"
Номер опубликования: 6201201911250029
Дата опубликования: 25.11.2019
Страница №45 из 46:
Увеличить