Официальное опубликование правовых актов
ОФИЦИАЛЬНОЕ ОПУБЛИКОВАНИЕ
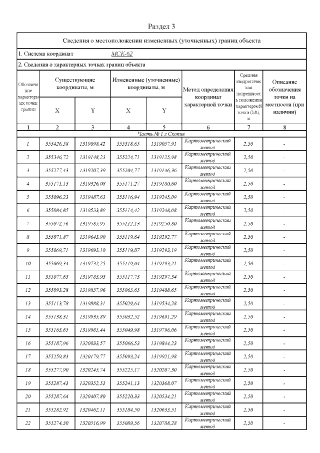
Постановление Главного управления архитектуры и градостроительства Рязанской области от 16.12.2019 № 438-п
"Об утверждении Генерального плана муниципального образования – городской округ город Скопин Рязанской области"
Номер опубликования: 6201201912180008
Дата опубликования: 18.12.2019
Страница №52 из 114:
Увеличить