Официальное опубликование правовых актов
ОФИЦИАЛЬНОЕ ОПУБЛИКОВАНИЕ
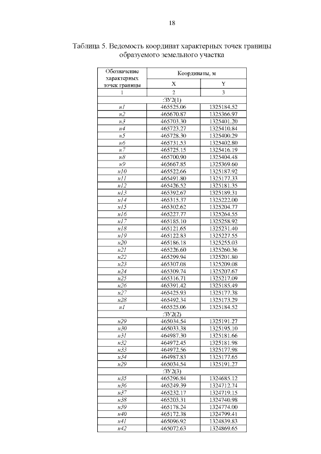
Постановление Главного управления архитектуры и градостроительства Рязанской области от 30.12.2019 № 491-п
"Об утверждении проекта планировки, проекта межевания территории для строительства линейного объекта "Газификация д. Кривоносово Рыбновского района Рязанской области"
Номер опубликования: 6201201912310001
Дата опубликования: 31.12.2019
Страница №20 из 77:
Увеличить