Официальное опубликование правовых актов
ОФИЦИАЛЬНОЕ ОПУБЛИКОВАНИЕ
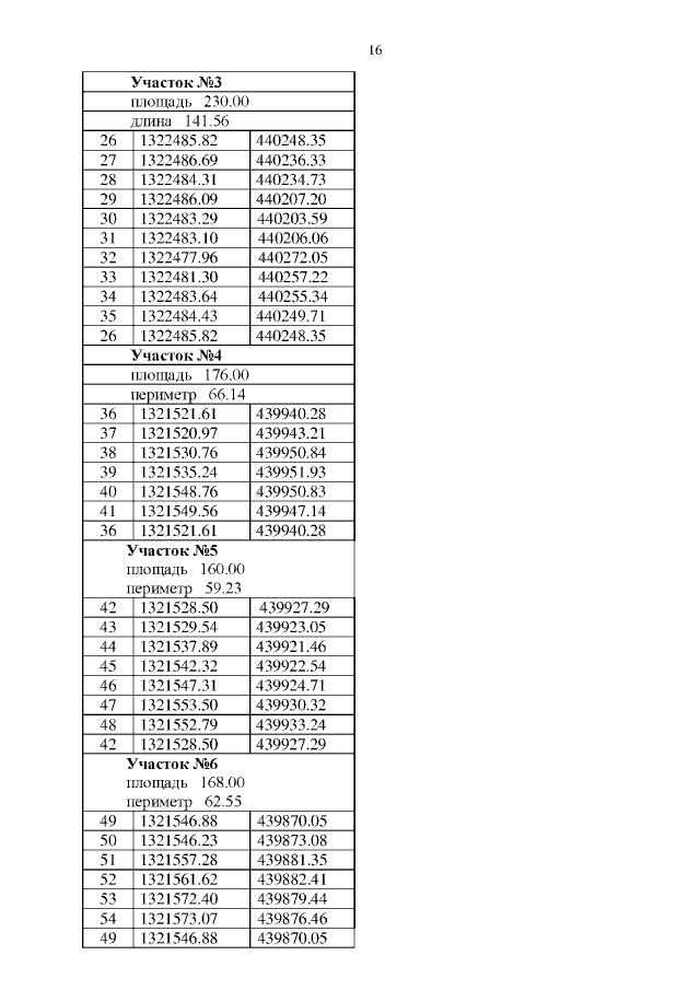
Постановление Главного управления архитектуры и градостроительства Рязанской области от 14.02.2020 № 77-п
"Об утверждении проекта планировки территории и проекта межевания территории по объекту "Строительство автомобильной дороги по ул. Луговая в с. Мушковатово Рязанского муниципального района Рязанской области (корректировка)"
Номер опубликования: 6201202002180003
Дата опубликования: 18.02.2020
Страница №18 из 21:
Увеличить