Официальное опубликование правовых актов
ОФИЦИАЛЬНОЕ ОПУБЛИКОВАНИЕ
Постановление Главного управления архитектуры и градостроительства Рязанской области от 28.02.2020 № 117-п
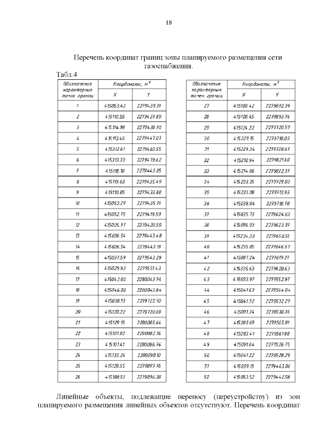
"Об утверждении проекта планировки и проекта межевания территории объекта: "Строительство сетей инженерной инфраструктуры (газовые, водопроводные, канализационные сети) и автомобильных дорог на улицах Станкостроителей, Н.Ф.Макарова, Восточная, Солнечная, расположенных в пределах кадастрового квартала 62:27:0010101 на территории муниципального образования - городской округ город Сасово Рязанской области"
Номер опубликования: 6201202003050004
Дата опубликования: 05.03.2020
Страница №20 из 50:
Увеличить