Официальное опубликование правовых актов
ОФИЦИАЛЬНОЕ ОПУБЛИКОВАНИЕ
Постановление Главного управления архитектуры и градостроительства Рязанской области от 24.03.2020 № 142-п
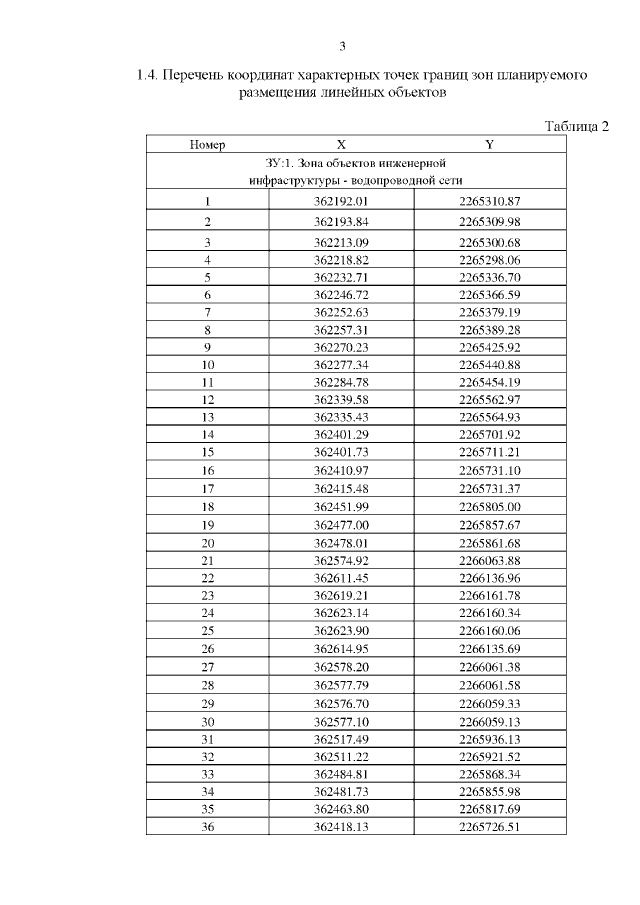
"Об утверждении проекта планировки и проекта межевания территории линейного объекта: "Реконструкция водопроводной сети в с. Новософьино Шацкого района Рязанской области"
Номер опубликования: 6201202003260006
Дата опубликования: 26.03.2020
Страница №5 из 27:
Увеличить