Официальное опубликование правовых актов
ОФИЦИАЛЬНОЕ ОПУБЛИКОВАНИЕ
Постановление Главного управления архитектуры и градостроительства Рязанской области от 25.03.2020 № 143-п
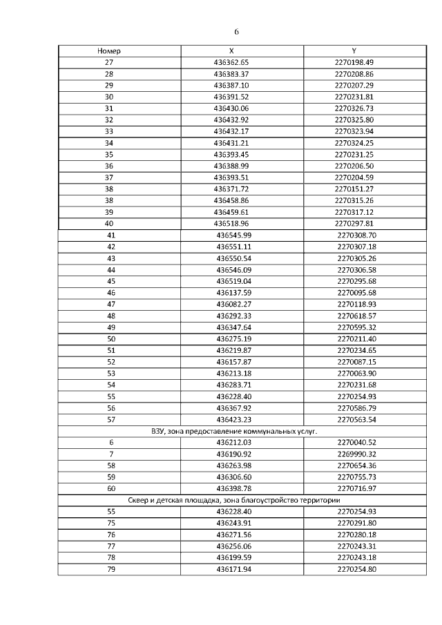
"Об утверждении проекта планировки территории, проекта межевания территории по объекту: "Обустройство объектами инженерной инфраструктуры и благоустройство площадки под комплексную жилищную застройку из 50-ти индивидуальных жилых домов в р.п Пителино Пителинского района Рязанской области. Наружное электроснабжение. Наружное водоснабжение. Наружное газоснабжение. Уличные автомобильные дороги. Благоустройство территории (озеленение)"
Номер опубликования: 6201202003270002
Дата опубликования: 27.03.2020
Страница №8 из 29:
Увеличить