Официальное опубликование правовых актов
ОФИЦИАЛЬНОЕ ОПУБЛИКОВАНИЕ
Постановление Главного управления архитектуры и градостроительства Рязанской области от 29.07.2020 № 404-п
"Об утверждении Правил землепользования и застройки муниципального образования - Турлатовское сельское поселение Рязанского муниципального района Рязанской области"
Номер опубликования: 6201202007300004
Дата опубликования: 30.07.2020
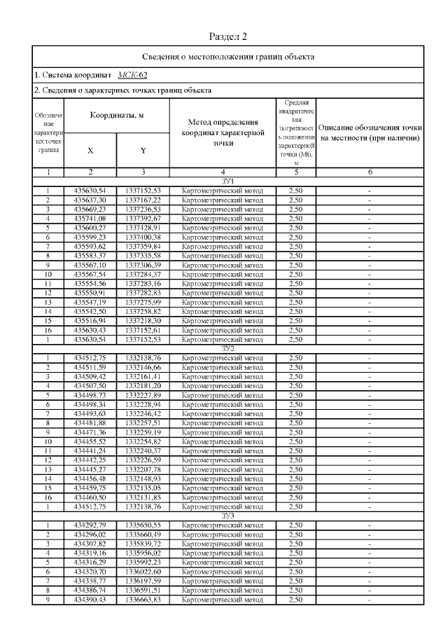
Страница №445 из 467:
Увеличить