Официальное опубликование правовых актов
ОФИЦИАЛЬНОЕ ОПУБЛИКОВАНИЕ
Постановление Главного управления архитектуры и градостроительства Рязанской области от 27.08.2020 № 567-п
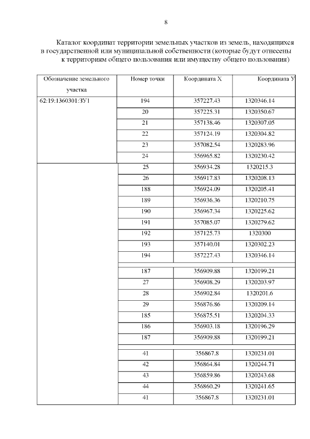
"О внесении изменений в постановление главного управления архитектуры и градостроительства Рязанской области от 24.07.2020 № 359-п "Об утверждении проекта планировки территории и проекта межевания территории по объекту: "Строительство канализационной сети от фармацевтических предприятий и гостиничного комплекса в с. Успенское Скопинского района Рязанской области"
Номер опубликования: 6201202008280001
Дата опубликования: 28.08.2020
Страница №10 из 69:
Увеличить