Официальное опубликование правовых актов
ОФИЦИАЛЬНОЕ ОПУБЛИКОВАНИЕ
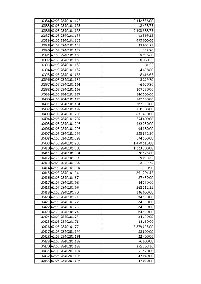
Постановление Министерства имущественных и земельных отношений Рязанской области от 15.09.2020 № 18-п
"Об утверждении результатов определения государственной кадастровой оценки земельных участков категории земель сельскохозяйственного назначения на территории Рязанской области"
Номер опубликования: 6201202009160002
Дата опубликования: 16.09.2020
Страница №211 из 2381:
Увеличить