Официальное опубликование правовых актов
ОФИЦИАЛЬНОЕ ОПУБЛИКОВАНИЕ
Постановление Главного управления архитектуры и градостроительства Рязанской области от 07.10.2020 № 651-п
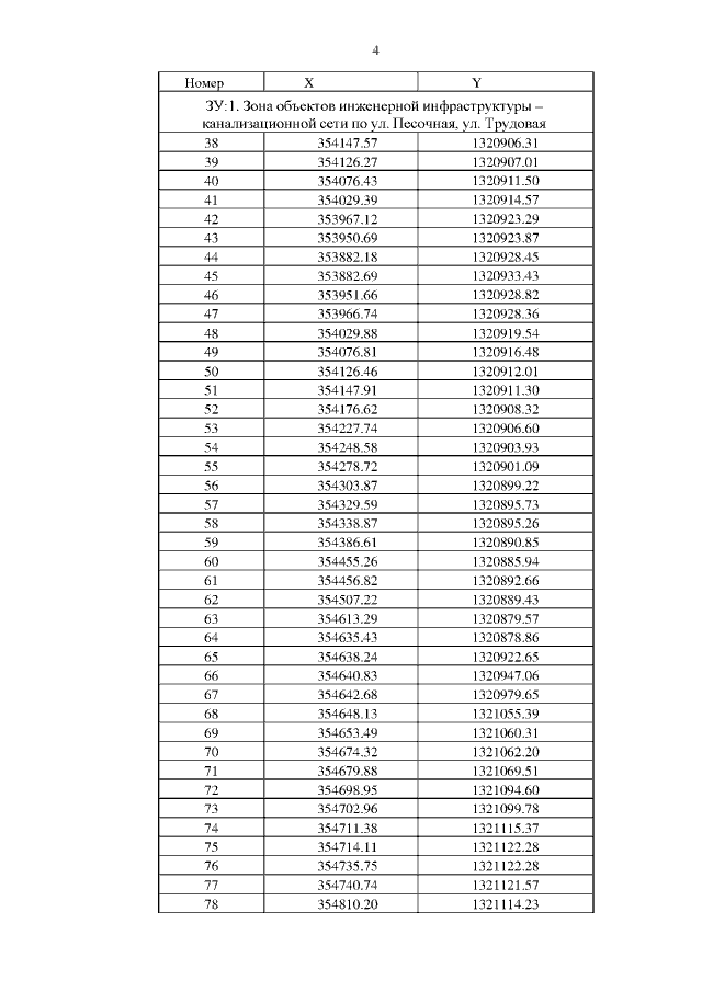
"О внесении изменения в постановление главного управления архитектур и градостроительства Рязанской области от 24.07.2020 № 360-п "Об утверждении проекта планировки территории и проекта межевания территории по объекту: "Реконструкция канализационной сети по ул. Песочная, ул. Трудовая, от ГНС до приемной камеры очистных сооружений в г. Скопине Рязанской области"
Номер опубликования: 6201202010120001
Дата опубликования: 12.10.2020
Страница №6 из 42:
Увеличить