Официальное опубликование правовых актов
ОФИЦИАЛЬНОЕ ОПУБЛИКОВАНИЕ
Постановление Главного управления архитектуры и градостроительства Рязанской области от 19.10.2020 № 670-п
"Об утверждении Генерального плана муниципального образования – Казачинское сельское поселение Шацкого муниципального района Рязанской области"
Номер опубликования: 6201202010220015
Дата опубликования: 22.10.2020
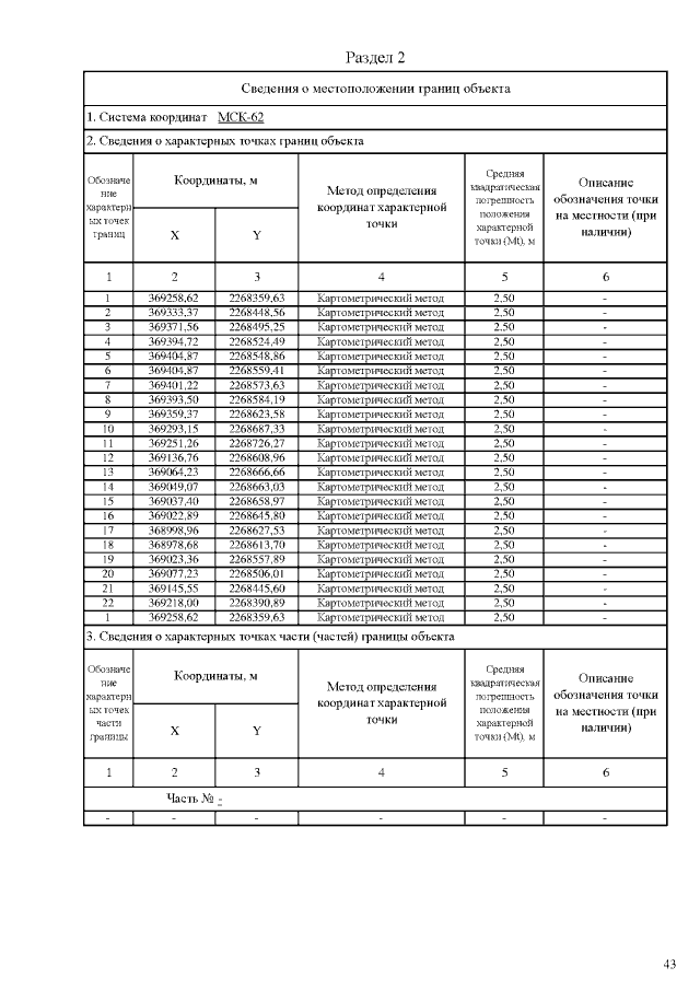
Страница №56 из 68:
Увеличить