Официальное опубликование правовых актов
ОФИЦИАЛЬНОЕ ОПУБЛИКОВАНИЕ
Постановление Министерства транспорта и автомобильных дорог Рязанской области от 18.11.2020 № 18
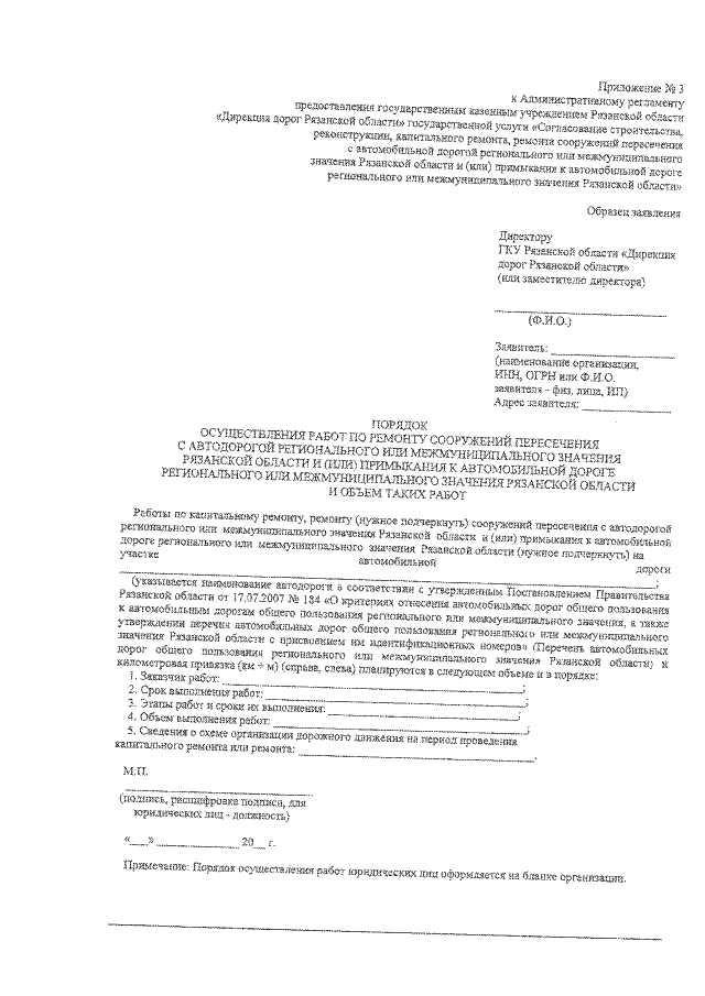
"Об утверждении административного регламента предоставления государственной услуги "Согласование строительства, реконструкции, капитального ремонта, ремонта сооружений пересечения с автомобильной дорогой регионального или межмуниципального значения Рязанской области и (или) примыкания к автомобильной дороге регионального или межмуниципального значения Рязанской области"
Номер опубликования: 6201202011190001
Дата опубликования: 19.11.2020
Страница №20 из 20:
Увеличить