Официальное опубликование правовых актов
ОФИЦИАЛЬНОЕ ОПУБЛИКОВАНИЕ
Постановление Главного управления архитектуры и градостроительства Рязанской области от 03.12.2020 № 809-п
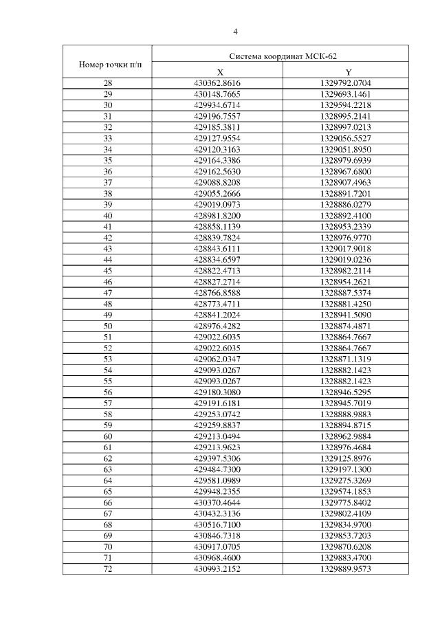
"Об утверждении проекта планировки территории и проекта межевания территории по объекту: "Строительство автомобильной дороги от автодороги "Рязань - Пронск - Скопин" - Ровное - Взметнево - Мельгуново - подъезд: Матчино - Агарково Рязанского района Рязанской области"
Номер опубликования: 6201202012040007
Дата опубликования: 04.12.2020
Страница №6 из 45:
Увеличить