Официальное опубликование правовых актов
ОФИЦИАЛЬНОЕ ОПУБЛИКОВАНИЕ
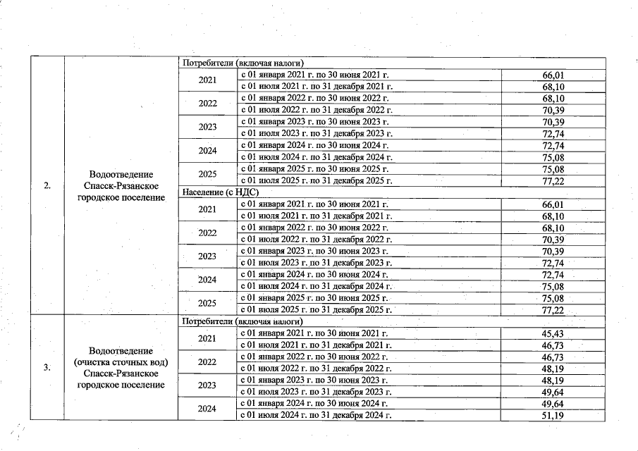
Постановление Главного управления "Региональная энергетическая комиссия" Рязанской области от 03.12.2020 № 241
"Об установлении тарифов в сфере водоотведения для потребителей МКП "Водосток" Спасского муниципального района"
Номер опубликования: 6201202012080006
Дата опубликования: 08.12.2020
Страница №18 из 20:
Увеличить