Официальное опубликование правовых актов
ОФИЦИАЛЬНОЕ ОПУБЛИКОВАНИЕ
Постановление Министерства труда и социальной защиты населения Рязанской области от 07.12.2020 № 56
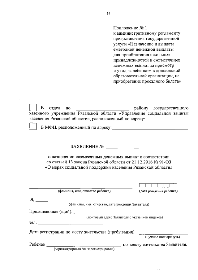
"О внесении изменений в постановление министерства социальной защиты населения Рязанской области от 20.12.2011 № 73 "Об утверждении административного регламента предоставления государственной услуги "Назначение и выплата ежегодной денежной выплаты для приобретения школьных принадлежностей и ежемесячных денежных выплат на содержание ребенка в дошкольном учреждении, на приобретение проездного билета" (в редакции постановлений министерства социальной защиты населения Рязанской области от 09.08.2012 № 40, от 29.01.2013 № 1, от 19.12.2014 № 76, от 10.04.2015 № 11, от 15.05.2015 № 13, от 29.12.2015 № 30, от 06.06.2016 № 5, от 28.12.2017 № 26, постановлений министерства труда и социальной защиты населения Рязанской области от 14.09.2018 № 39, от 24.12.2018 № 47)"
Номер опубликования: 6201202012080041
Дата опубликования: 08.12.2020
Страница №54 из 78:
Увеличить