Официальное опубликование правовых актов
ОФИЦИАЛЬНОЕ ОПУБЛИКОВАНИЕ
Постановление Главного управления архитектуры и градостроительства Рязанской области от 09.12.2020 № 815-п
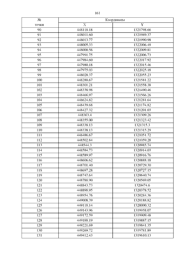
"О внесении изменений в постановление главного управления архитектуры и градостроительства Рязанской области от 19.12.2019 № 470-п "Об утверждении проекта планировки территории, проекта межевания территории по объекту "Индустриальный (промышленный) парк "Рязанский", расположенный в пределах кадастрового квартала 62:15:0010130 на территории муниципального образования – Тюшевское сельское поселение Рязанского муниципального района Рязанской области"
Номер опубликования: 6201202012110006
Дата опубликования: 11.12.2020
Страница №163 из 241:
Увеличить