Официальное опубликование правовых актов
ОФИЦИАЛЬНОЕ ОПУБЛИКОВАНИЕ
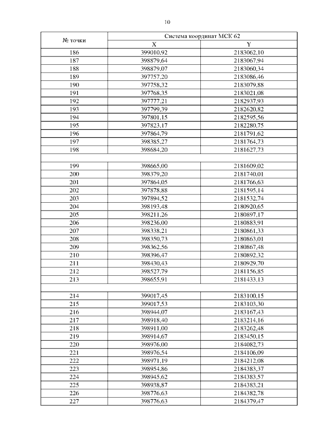
Постановление Главного управления архитектуры и градостроительства Рязанской области от 15.12.2020 № 822-п
"Об утверждении проекта планировки территории и проекта межевания территории на территории опережающего социально-экономического развития в монопофильном муниципальном образовании - Лесновское городское поселение Шиловского муниципального района Рязанской области"
Номер опубликования: 6201202012160001
Дата опубликования: 16.12.2020
Страница №12 из 60:
Увеличить