Официальное опубликование правовых актов
ОФИЦИАЛЬНОЕ ОПУБЛИКОВАНИЕ
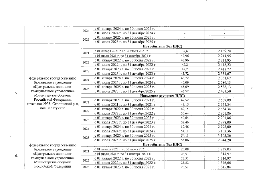
Постановление Главного управления "Региональная энергетическая комиссия" Рязанской области от 17.12.2020 № 311
"Об установлении тарифов на горячую воду для потребителей федерального государственного бюджетного учреждения "Центральное жилищно-коммунальное управление" Министерства обороны Российской Федерации на территории Рязанской области"
Номер опубликования: 6201202012210003
Дата опубликования: 21.12.2020
Страница №8 из 10:
Увеличить