Официальное опубликование правовых актов
ОФИЦИАЛЬНОЕ ОПУБЛИКОВАНИЕ
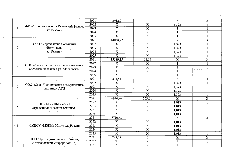
Постановление Главного управления "Региональная энергетическая комиссия" Рязанской области от 29.12.2020 № 382
"О внесении изменений в постановление ГУ РЭК Рязанской области от 17 декабря 2020 г. № 330 "О тарифах на тепловую энергию для потребителей Рязанской области на 2021-2025 годы"
Номер опубликования: 6201202012300004
Дата опубликования: 30.12.2020
Страница №14 из 15:
Увеличить