Официальное опубликование правовых актов
ОФИЦИАЛЬНОЕ ОПУБЛИКОВАНИЕ
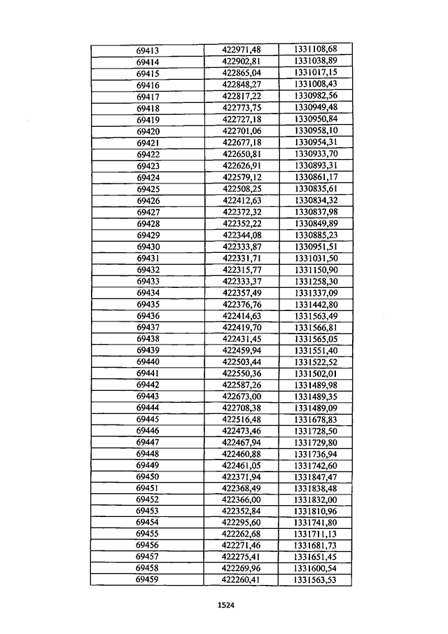
Постановление Министерства природопользования Рязанской области от 25.01.2021 № 2
"Об установлении границ лесопаркового зеленого пояса вокруг города Рязани"
Номер опубликования: 6201202101250002
Дата опубликования: 25.01.2021
Страница №1525 из 1547:
Увеличить