Официальное опубликование правовых актов
ОФИЦИАЛЬНОЕ ОПУБЛИКОВАНИЕ
Постановление Министерства сельского хозяйства и продовольствия Рязанской области от 01.02.2021 № 2
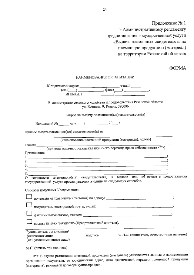
"Об утверждении административного регламента предоставления государственной услуги "Выдача племенных свидетельств на племенную продукцию (материал) на территории Рязанской области"
Номер опубликования: 6201202102020001
Дата опубликования: 02.02.2021
Страница №26 из 35:
Увеличить