Официальное опубликование правовых актов
ОФИЦИАЛЬНОЕ ОПУБЛИКОВАНИЕ
Постановление Главного управления архитектуры и градостроительства Рязанской области от 12.02.2021 № 42-п
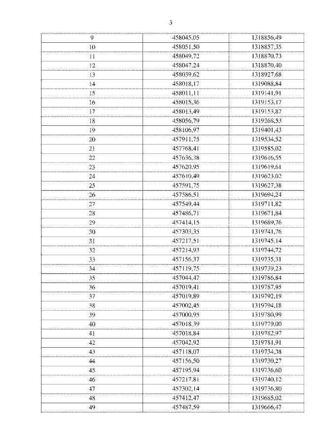
"Об утверждении проекта планировки территории и проекта межевания территории по линейному объекту: "Межпоселковый газопровод Зубово – Елизаветинка – Аблово Рыбновского района Рязанской области (корректировка)"
Номер опубликования: 6201202102170004
Дата опубликования: 17.02.2021
Страница №5 из 31:
Увеличить