Официальное опубликование правовых актов
ОФИЦИАЛЬНОЕ ОПУБЛИКОВАНИЕ
Постановление Главного управления архитектуры и градостроительства Рязанской области от 12.02.2021 № 55-п
"Об утверждении проекта планировки территории и проекта межевания территории по линейному объекту: "Межпоселковый газопровод Ряжск – д. Александровка – с. Нагорное Ряжского района Рязанской области (корректировка)"
Номер опубликования: 6201202102170007
Дата опубликования: 17.02.2021
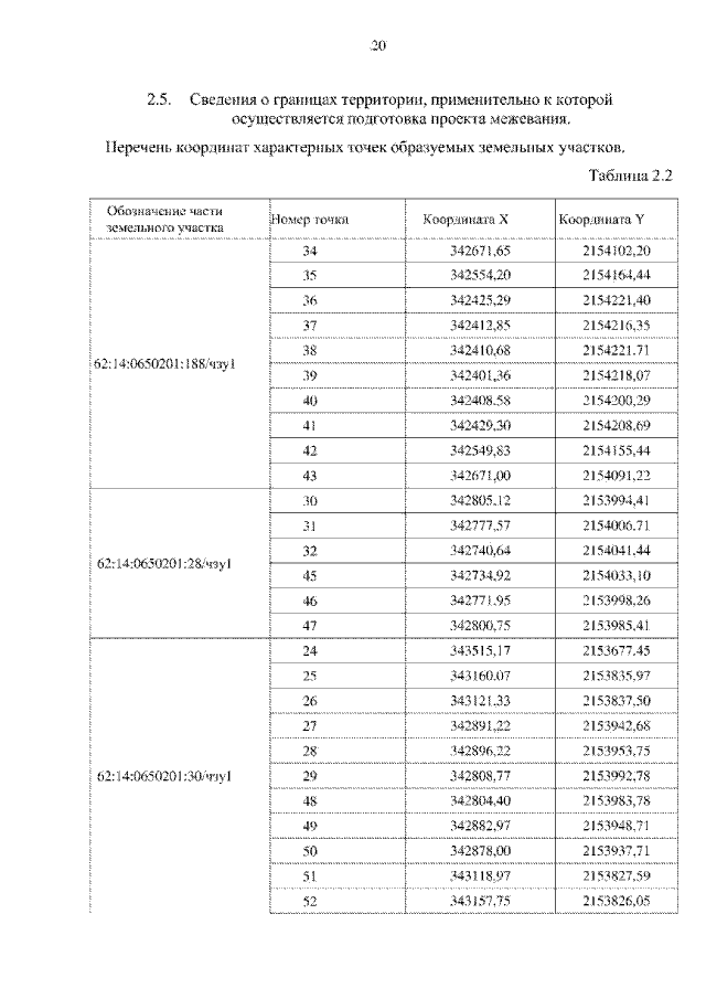
Страница №22 из 64:
Увеличить