Официальное опубликование правовых актов
ОФИЦИАЛЬНОЕ ОПУБЛИКОВАНИЕ
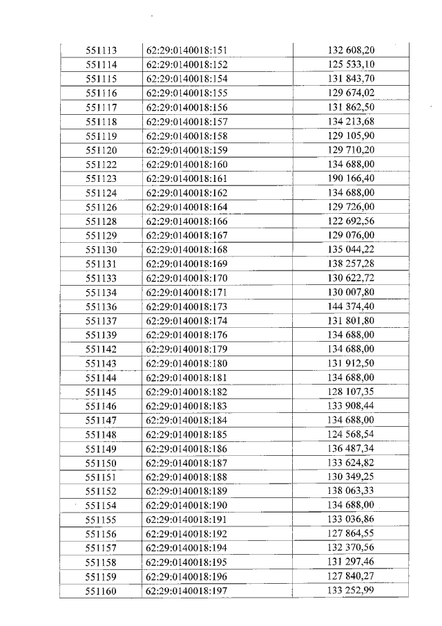
Постановление Министерства имущественных и земельных отношений Рязанской области от 15.03.2021 № 5-П
"О внесении изменений в постановление министерства имущественных и земельных отношений Рязанской области от 12.10.2018 № 22-П "Об утверждении результатов определения государственной кадастровой оценки земель населенных пунктов на территории Рязанской области" (в редакции постановлений министерства имущественных и земельных отношений Рязанской области от 15.01.2019 № 2-П, от 05.02.2019 № 8-П,от 15.02.2019 № 11-П, от 25.04.2019 № 14-П, от 07.05.2019 № 17-П, от 14.06.2019 № 19-П, от 16.07.2019 № 21-П, от 20.08.2019 № 31-П, от 16.09.2019 № 32-П, от 18.11.2019 № 38-П, от 03.02.2020 № 4-П, от 20.02.2020 № 6-П, от 10.03.2020 № 7-П, от 27.03.2020 № 8-П, от 28.04.2020 № 9-П, от 29.06.2020 № 12-П, от 22.07.2020 № 13-П, от 05.08.2020 № 14-П, от 28.08.2020 № 16-П, от 08.09.2020 № 17-П, от 28.09.2020 № 20-П, от 06.10.2020 № 22-П, от 03.11.2020 № 25-П, от 22.12.2020 № 31-П)"
Номер опубликования: 6201202103160001
Дата опубликования: 16.03.2021
Страница №3 из 11:
Увеличить