Официальное опубликование правовых актов
ОФИЦИАЛЬНОЕ ОПУБЛИКОВАНИЕ
Постановление Главного управления архитектуры и градостроительства Рязанской области от 19.04.2021 № 150-п
"Об утверждении правил землепользования и застройки муниципального образования – городской округ город Касимов Рязанской области"
Номер опубликования: 6201202104220002
Дата опубликования: 22.04.2021
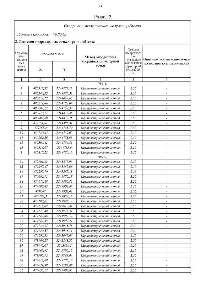
Страница №124 из 264:
Увеличить