Официальное опубликование правовых актов
ОФИЦИАЛЬНОЕ ОПУБЛИКОВАНИЕ
Постановление Главного управления архитектуры и градостроительства Рязанской области от 30.04.2021 № 191-п
"Об утверждении генерального плана муниципального образования – Благовское сельское поселение Александро-Невского муниципального района Рязанской области"
Номер опубликования: 6201202105060016
Дата опубликования: 06.05.2021
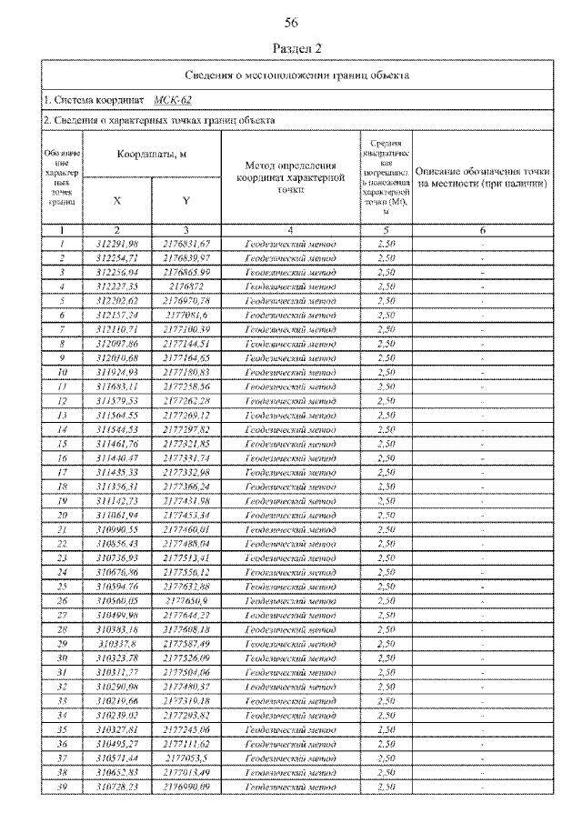
Страница №68 из 70:
Увеличить