Официальное опубликование правовых актов
ОФИЦИАЛЬНОЕ ОПУБЛИКОВАНИЕ
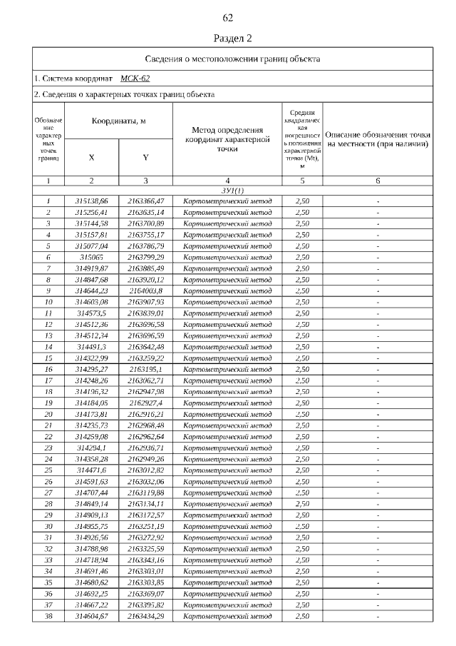
Постановление Главного управления архитектуры и градостроительства Рязанской области от 30.04.2021 № 190-п
"Об утверждении правил землепользования и застройки муниципального образования – Борисовское сельское поселение Александро-Невского муниципального района Рязанской области"
Номер опубликования: 6201202105080002
Дата опубликования: 08.05.2021
Страница №94 из 121:
Увеличить