Официальное опубликование правовых актов
ОФИЦИАЛЬНОЕ ОПУБЛИКОВАНИЕ
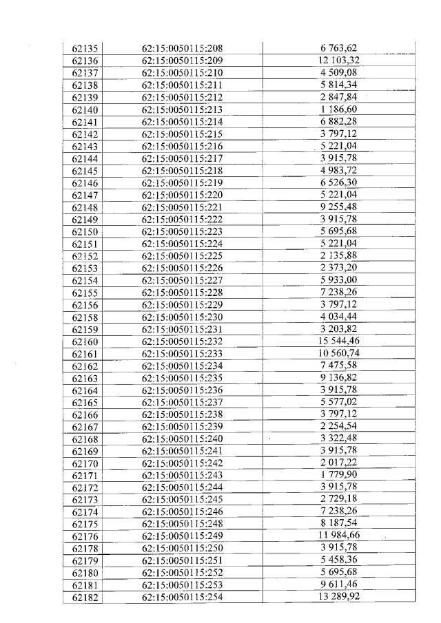
Постановление Министерства имущественных и земельных отношений Рязанской области от 21.05.2021 № 10-П
"О внесении изменений в постановление министерства имущественных и земельных отношений Рязанской области от 15.09.2020 № 18-П "Об утверждении результатов определения государственной кадастровой оценки земельных участков категории земель сельскохозяйственного назначения на территории Рязанской области" (в редакции постановления министерства имущественных и земельных отношений Рязанской области от 28.09.2020 № 21-П)"
Номер опубликования: 6201202105240002
Дата опубликования: 24.05.2021
Страница №4 из 9:
Увеличить