Постановление Министерства цифрового развития, информационных технологий и связи Рязанской области от 24.05.2021 № 4
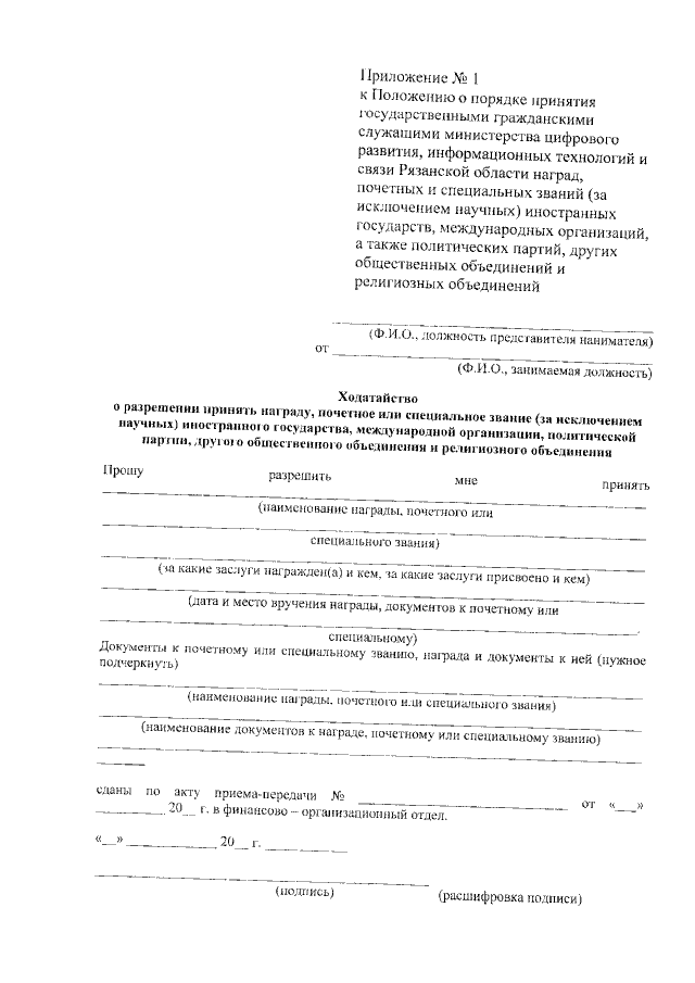
"Об утверждении Положения о порядке принятия государственными гражданскими служащими министерства цифрового развития, информационных технологий и связи Рязанской области наград, почетных и специальных званий (за исключением научных) иностранных государств, международных организаций, а также политических партий, других общественных объединений и религиозных объединений"
"Об утверждении Положения о порядке принятия государственными гражданскими служащими министерства цифрового развития, информационных технологий и связи Рязанской области наград, почетных и специальных званий (за исключением научных) иностранных государств, международных организаций, а также политических партий, других общественных объединений и религиозных объединений"
Номер опубликования: 6201202105260005
Дата опубликования:
26.05.2021
