Официальное опубликование правовых актов
ОФИЦИАЛЬНОЕ ОПУБЛИКОВАНИЕ
Постановление Главного управления архитектуры и градостроительства Рязанской области от 18.06.2021 № 238-п
"Об утверждении генерального плана муниципального образования – Тюшевское сельское поселение Рязанского муниципального района Рязанской области"
Номер опубликования: 6201202106210001
Дата опубликования: 21.06.2021
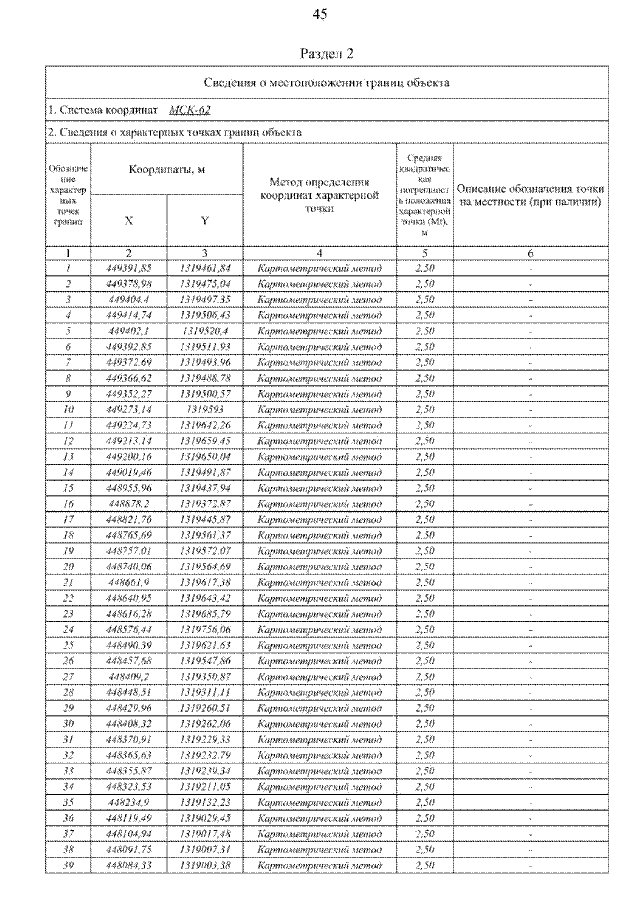
Страница №59 из 64:
Увеличить