Официальное опубликование правовых актов
ОФИЦИАЛЬНОЕ ОПУБЛИКОВАНИЕ
Постановление Главного управления архитектуры и градостроительства Рязанской области от 18.06.2021 № 241-п
"Об утверждении правил землепользования и застройки муниципального образования - Голдинское сельское поселение Михайловского муниципального района Рязанской области"
Номер опубликования: 6201202106220006
Дата опубликования: 22.06.2021
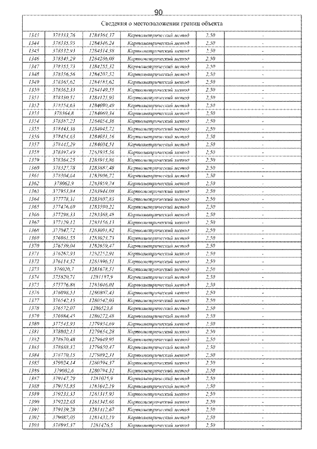
Страница №133 из 166:
Увеличить