Официальное опубликование правовых актов
ОФИЦИАЛЬНОЕ ОПУБЛИКОВАНИЕ
Постановление Главного управления архитектуры и градостроительства Рязанской области от 23.06.2021 № 245-п
"Об утверждении правил землепользования и застройки муниципального образования – Тюшевское сельское поселение Рязанского муниципального района Рязанской области"
Номер опубликования: 6201202106250002
Дата опубликования: 25.06.2021
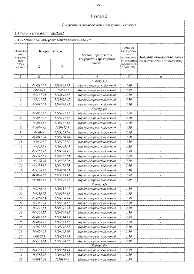
Страница №175 из 189:
Увеличить