Официальное опубликование правовых актов
ОФИЦИАЛЬНОЕ ОПУБЛИКОВАНИЕ
Постановление Главного управления архитектуры и градостроительства Рязанской области от 28.06.2021 № 249-п
"О внесении изменений в правила землепользования и застройки муниципального образования – Заборьевское сельское поселение Рязанского муниципального района Рязанской области"
Номер опубликования: 6201202106300001
Дата опубликования: 30.06.2021
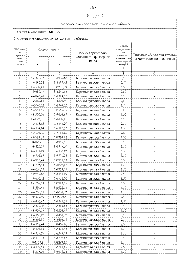
Страница №151 из 237:
Увеличить