Официальное опубликование правовых актов
ОФИЦИАЛЬНОЕ ОПУБЛИКОВАНИЕ
Постановление Главного управления архитектуры и градостроительства Рязанской области от 28.06.2021 № 250-п
"О внесении изменений в правила землепользования и застройки муниципального образования – Истобниковское сельское поселение Рыбновского муниципального района Рязанской области"
Номер опубликования: 6201202106300003
Дата опубликования: 30.06.2021
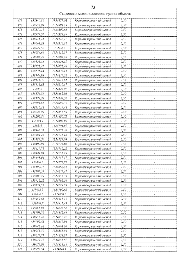
Страница №108 из 142:
Увеличить