Официальное опубликование правовых актов
ОФИЦИАЛЬНОЕ ОПУБЛИКОВАНИЕ
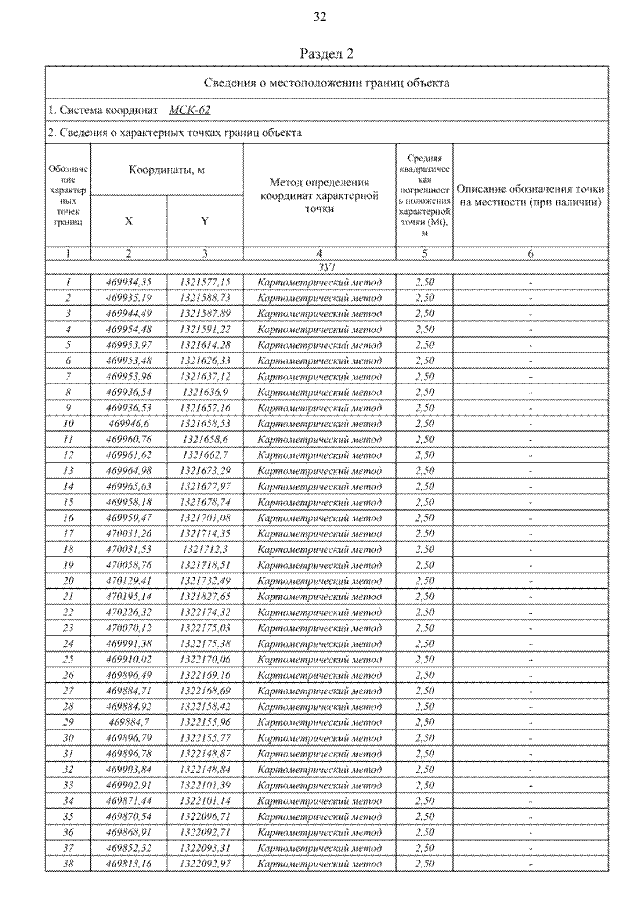
Постановление Главного управления архитектуры и градостроительства Рязанской области от 28.06.2021 № 247-п
"О внесении изменений в правила землепользования и застройки муниципального образования – Кузьминское сельское поселение Рыбновского муниципального района Рязанской области"
Номер опубликования: 6201202106300005
Дата опубликования: 30.06.2021
Страница №76 из 209:
Увеличить