Официальное опубликование правовых актов
ОФИЦИАЛЬНОЕ ОПУБЛИКОВАНИЕ
Постановление Главного управления архитектуры и градостроительства Рязанской области от 28.06.2021 № 254-п
"О внесении изменений в правила землепользования и застройки муниципального образования – Батуринское сельское поселение Рыбновского муниципального района Рязанской области"
Номер опубликования: 6201202106300008
Дата опубликования: 30.06.2021
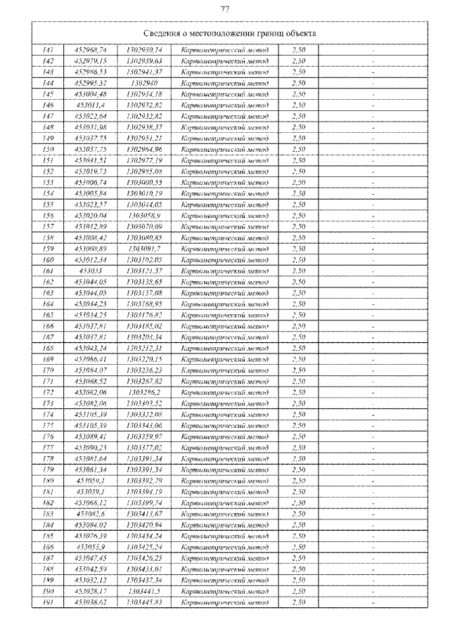
Страница №110 из 142:
Увеличить