Официальное опубликование правовых актов
ОФИЦИАЛЬНОЕ ОПУБЛИКОВАНИЕ
Постановление Главного управления архитектуры и градостроительства Рязанской области от 28.06.2021 № 253-п
"О внесении изменений в правила землепользования и застройки муниципального образования – Чурилковское сельское поселение Рыбновского муниципального района Рязанской области"
Номер опубликования: 6201202106300011
Дата опубликования: 30.06.2021
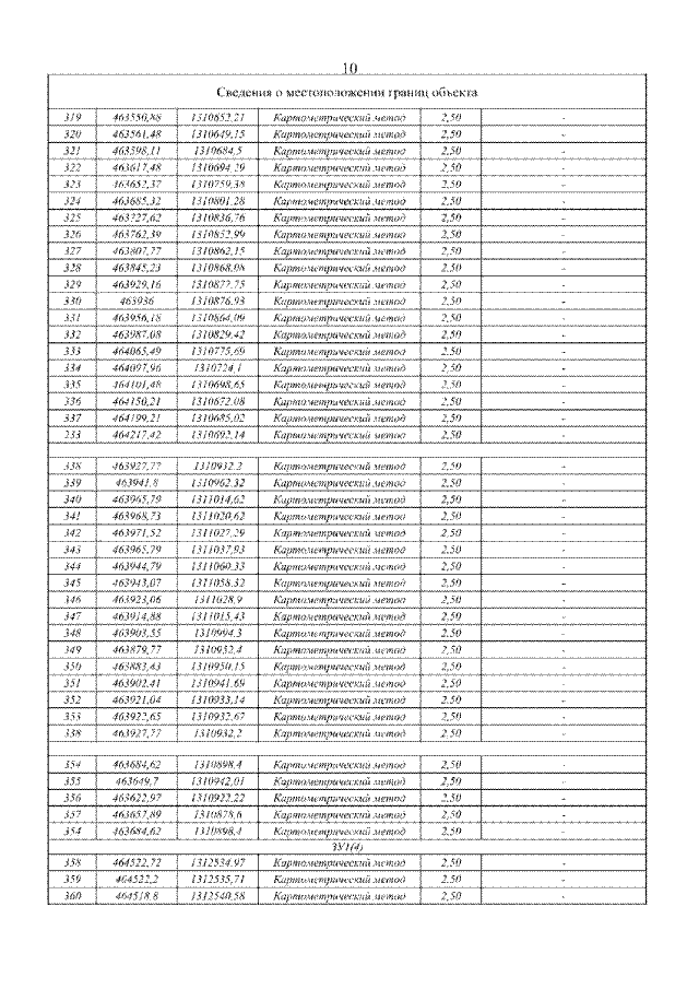
Страница №55 из 140:
Увеличить