Официальное опубликование правовых актов
ОФИЦИАЛЬНОЕ ОПУБЛИКОВАНИЕ
Постановление Главного управления архитектуры и градостроительства Рязанской области от 11.08.2021 № 347-п
"Об утверждении генерального плана муниципального образования – Горностаевское сельское поселение Михайловского муниципального района Рязанской области"
Номер опубликования: 6201202108130002
Дата опубликования: 13.08.2021
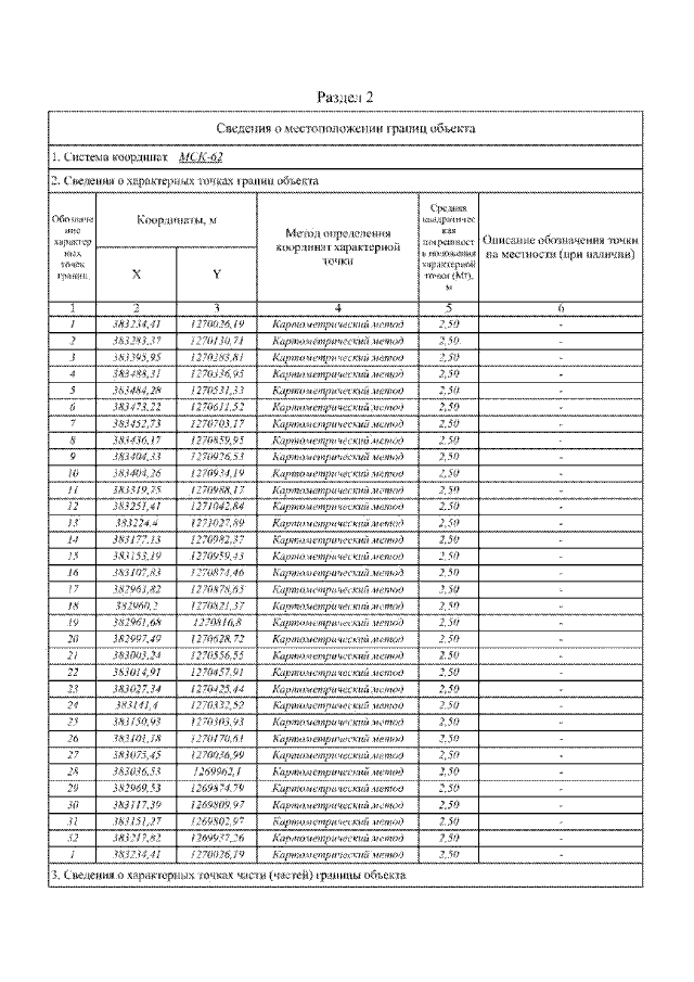
Страница №42 из 133:
Увеличить