Официальное опубликование правовых актов
ОФИЦИАЛЬНОЕ ОПУБЛИКОВАНИЕ
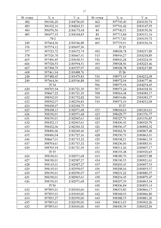
Постановление Главного управления архитектуры и градостроительства Рязанской области от 06.09.2021 № 410-п
"О внесении изменений в постановление главного управления архитектуры и градостроительства Рязанской области от 15.12.2020 № 822-п "Об утверждении проекта планировки территории и проекта межевания территории на территории опережающего социально-экономического развития в монопрофильном муниципальном образовании - Лесновское городское поселение Шиловского муниципального района Рязанской области"
Номер опубликования: 6201202109080004
Дата опубликования: 08.09.2021
Страница №29 из 36:
Увеличить