Официальное опубликование правовых актов
ОФИЦИАЛЬНОЕ ОПУБЛИКОВАНИЕ
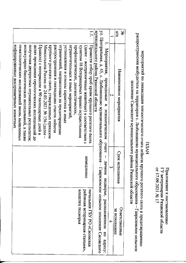
Постановление Главного управления ветеринарии Рязанской области от 17.09.2021 № 17
"Об установлении ограничительных мероприятий (карантина) по лейкозу крупного рогатого скота на территории муниципального образования – Сасовский муниципальный район Рязанской области"
Номер опубликования: 6201202109210002
Дата опубликования: 21.09.2021
Страница №4 из 7:
Увеличить