Официальное опубликование правовых актов
ОФИЦИАЛЬНОЕ ОПУБЛИКОВАНИЕ
Постановление Главного управления архитектуры и градостроительства Рязанской области от 02.11.2021 № 495-п
"Об утверждении правил землепользования и застройки муниципального образования – Казачинское сельское поселение Шацкого муниципального района Рязанской области"
Номер опубликования: 6201202111080011
Дата опубликования: 08.11.2021
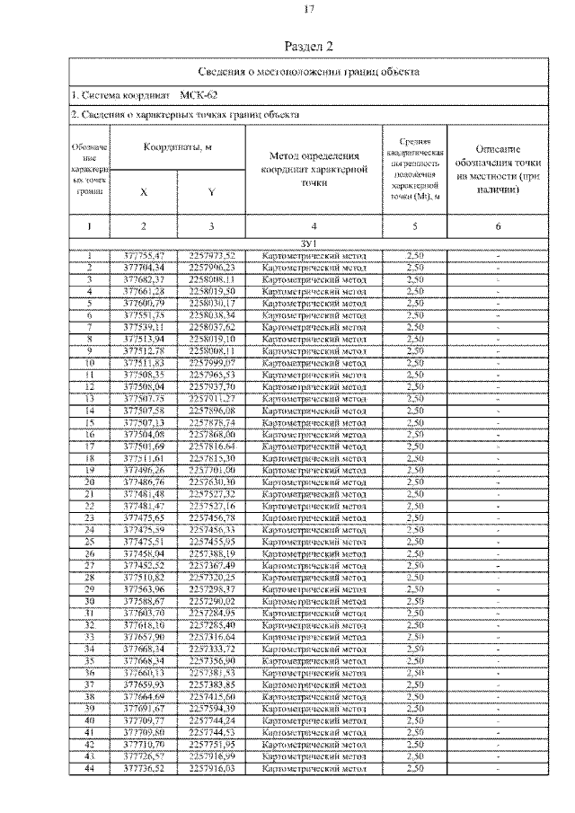
Страница №121 из 354:
Увеличить