Официальное опубликование правовых актов
ОФИЦИАЛЬНОЕ ОПУБЛИКОВАНИЕ
Постановление Главного управления архитектуры и градостроительства Рязанской области от 03.11.2021 № 500-п
"Об утверждении правил землепользования и застройки муниципального образования – Лесно-Конобеевское сельское поселение Шацкого муниципального района Рязанской области"
Номер опубликования: 6201202111080012
Дата опубликования: 08.11.2021
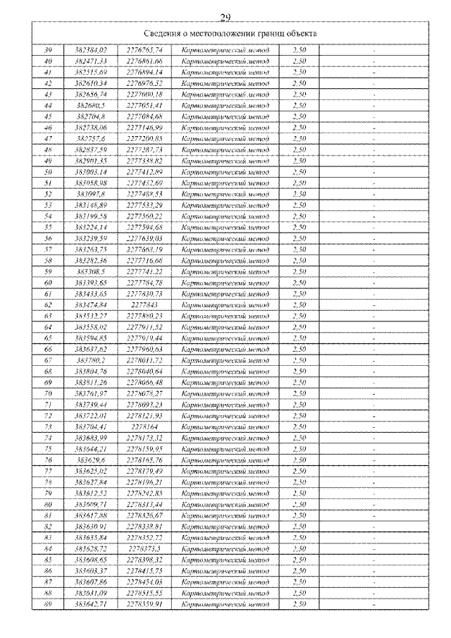
Страница №59 из 97:
Увеличить