Официальное опубликование правовых актов
ОФИЦИАЛЬНОЕ ОПУБЛИКОВАНИЕ
Постановление Главного управления архитектуры и градостроительства Рязанской области от 10.11.2021 № 508-п
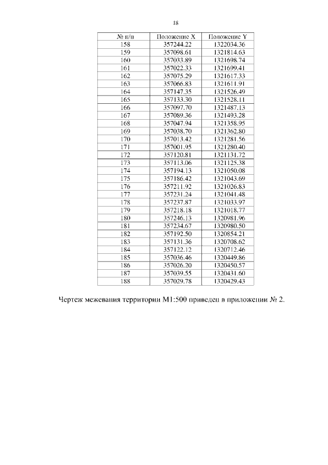
"Об утверждении проекта планировки территории и проекта межевания территории по линейному объекту: "Строительство газовой котельной ООО "Скопинский фармацевтический завод", 2-я очередь и газовой котельной завода по переработке плазмы крови, ООО "ОктафармаФармимэкс", расположенных по адресу: Рязанская область, Скопинский район"
Номер опубликования: 6201202111120001
Дата опубликования: 12.11.2021
Страница №20 из 100:
Увеличить